West Virginia Roommate Agreement

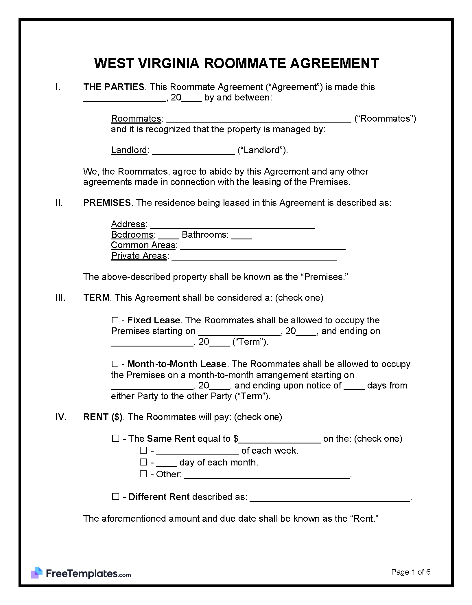
A West Virginia roommate agreement is a contract between two individuals looking to share a rented property. The contract outlines the duties and responsibilities of both parties, including rent amount, due dates, individual tasks, and security deposit amounts.

Last updated March 10th, 2026

A West Virginia roommate agreement is a contract between two individuals looking to share a rented property. The contract outlines the duties and responsibilities of both parties, including rent amount, due dates, individual tasks, and security deposit amounts.

  1. Home »
  2. Lease Agreements »
  3. West Virginia »
  4. Roommate