Idaho Sublease Agreement

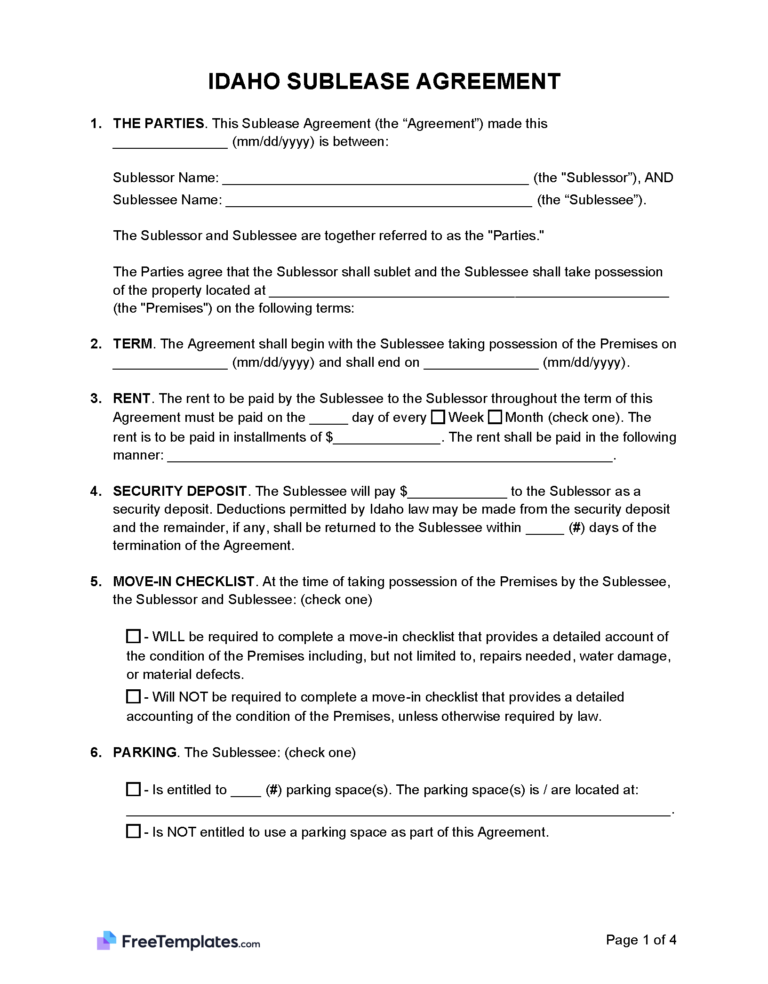
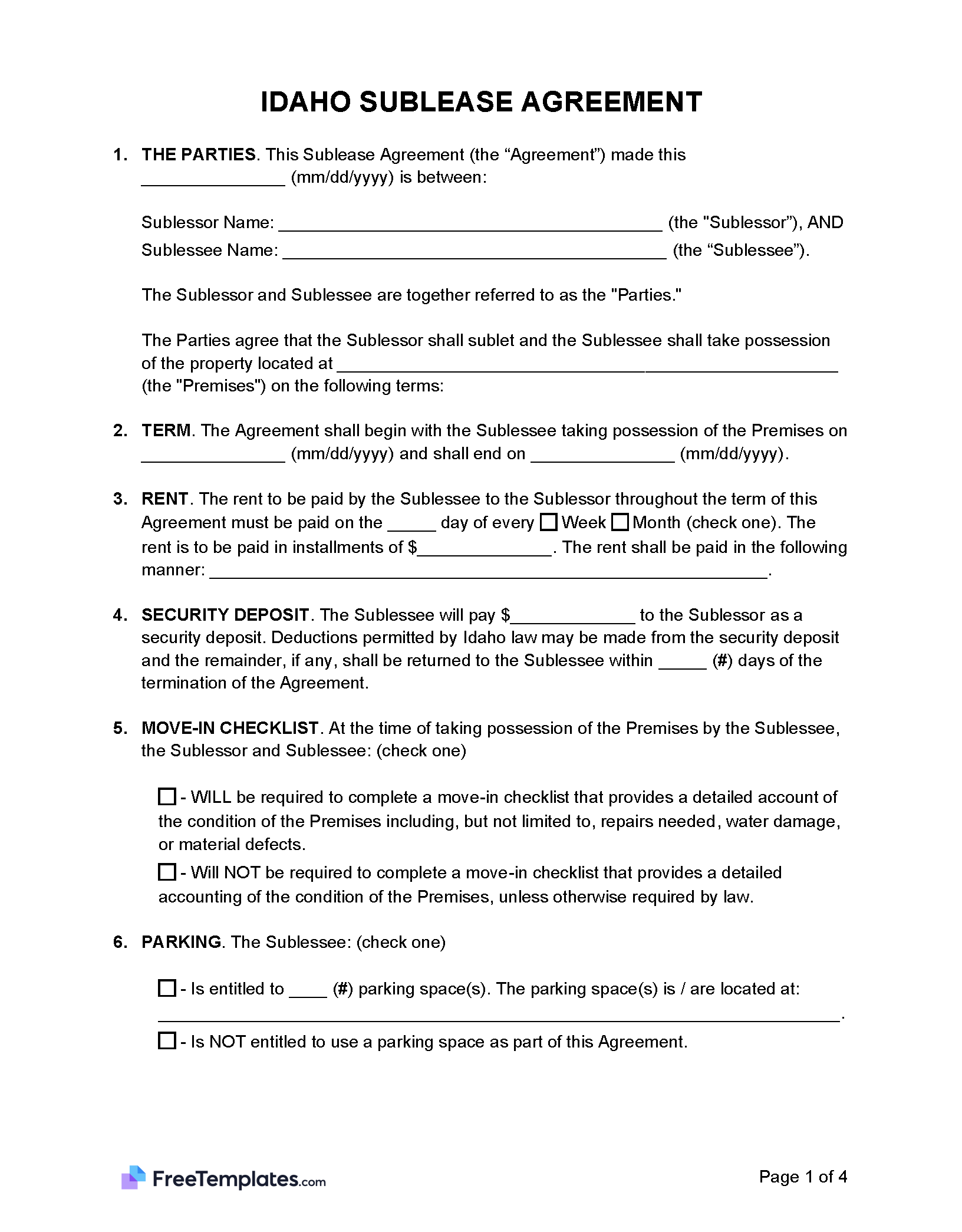
An Idaho sublease agreement is a contract that allows the original tenant to sublease the rental property to a new tenant with the landlord’s consent. The duration of the sublease cannot exceed the term of the original lease, and the original tenant is still legally responsible for the lease terms and conditions.

Last updated March 10th, 2026

An Idaho sublease agreement is a contract that allows the original tenant to sublease the rental property to a new tenant with the landlord’s consent. The duration of the sublease cannot exceed the term of the original lease, and the original tenant is still legally responsible for the lease terms and conditions.

  1. Home »
  2. Lease Agreements »
  3. Idaho »
  4. Idaho Sublease Agreement