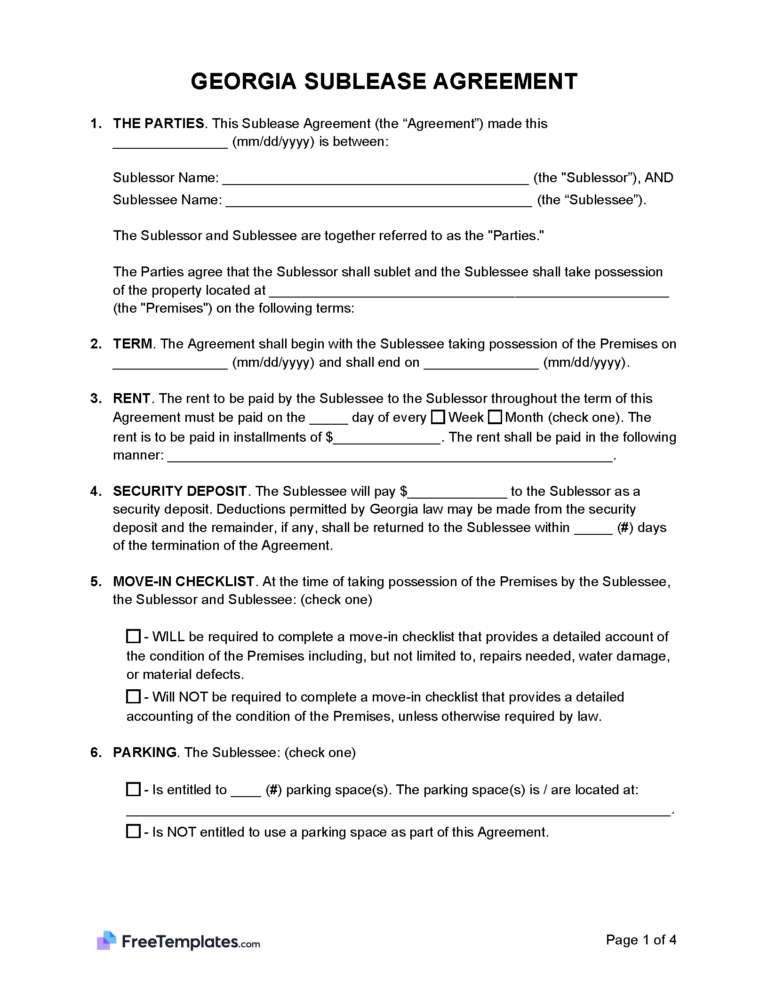
A Georgia Sublease Agreement is a written contractual arrangement that allows the rental property to be rented out to a new tenant, known as the sublessee, given the landlord’s consent. While the sublessee may take on the lease terms, the original tenant is still legally responsible for the original lease with the landlord and must ensure timely rent payment and that any rules or restrictions are followed.
A Georgia Sublease Agreement is a written contractual arrangement that allows the rental property to be rented out to a new tenant, known as the sublessee, given the landlord’s consent. While the sublessee may take on the lease terms, the original tenant is still legally responsible for the original lease with the landlord and must ensure timely rent payment and that any rules or restrictions are followed.