Oregon Sublease Agreement

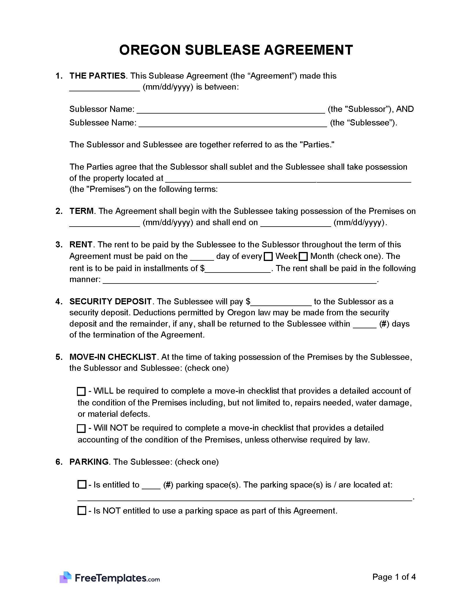
An Oregon sublease agreement is a legal contract used with a landlord’s consent to re-rent out the rental property to a new tenant without breaking the terms and conditions of the original lease agreements.

Last updated March 10th, 2026

An Oregon sublease agreement is a legal contract used with a landlord’s consent to re-rent out the rental property to a new tenant without breaking the terms and conditions of the original lease agreements.

  1. Home »
  2. Lease Agreements »
  3. Oregon »
  4. Oregon Sublease Agreement