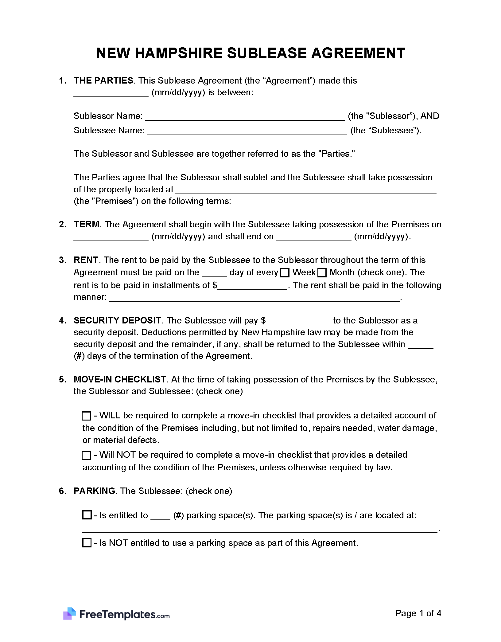
A New Hampshire sublease agreement is a contract where a renter re-rents their leased space to another individual with the landlord’s consent. This agreement lists all of the responsibilities of the new renter, such as the security deposit amount, utility bills, and rent due dates.
A New Hampshire sublease agreement is a contract where a renter re-rents their leased space to another individual with the landlord’s consent. This agreement lists all of the responsibilities of the new renter, such as the security deposit amount, utility bills, and rent due dates.