Montana Sublease Agreement

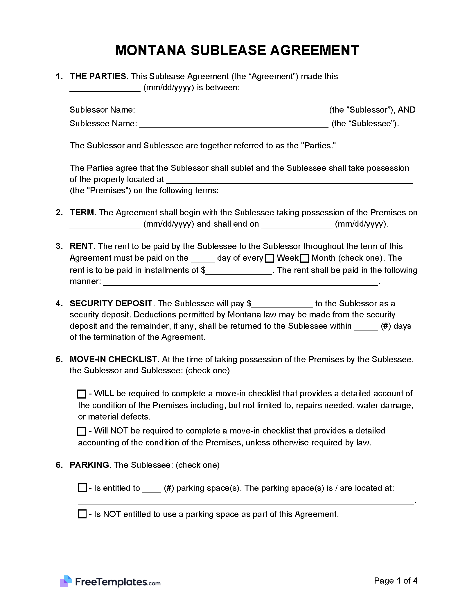
A Montana sublease agreement is a contract that allows a renter to re-rent out their already leased space to another individual. The contract outlines the names of all parties involved, the rent price and due date, the utilities, and other important rent information.

Last updated August 10th, 2024

A Montana sublease agreement is a contract that allows a renter to re-rent out their already leased space to another individual. The contract outlines the names of all parties involved, the rent price and due date, the utilities, and other important rent information.

  1. Home »
  2. Lease Agreements »
  3. Montana »
  4. Montana Sublease Agreement