Massachusetts Sublease Agreement

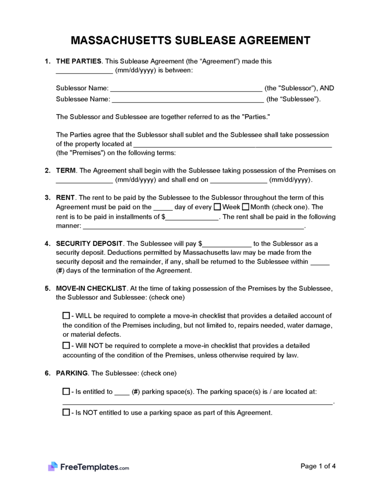
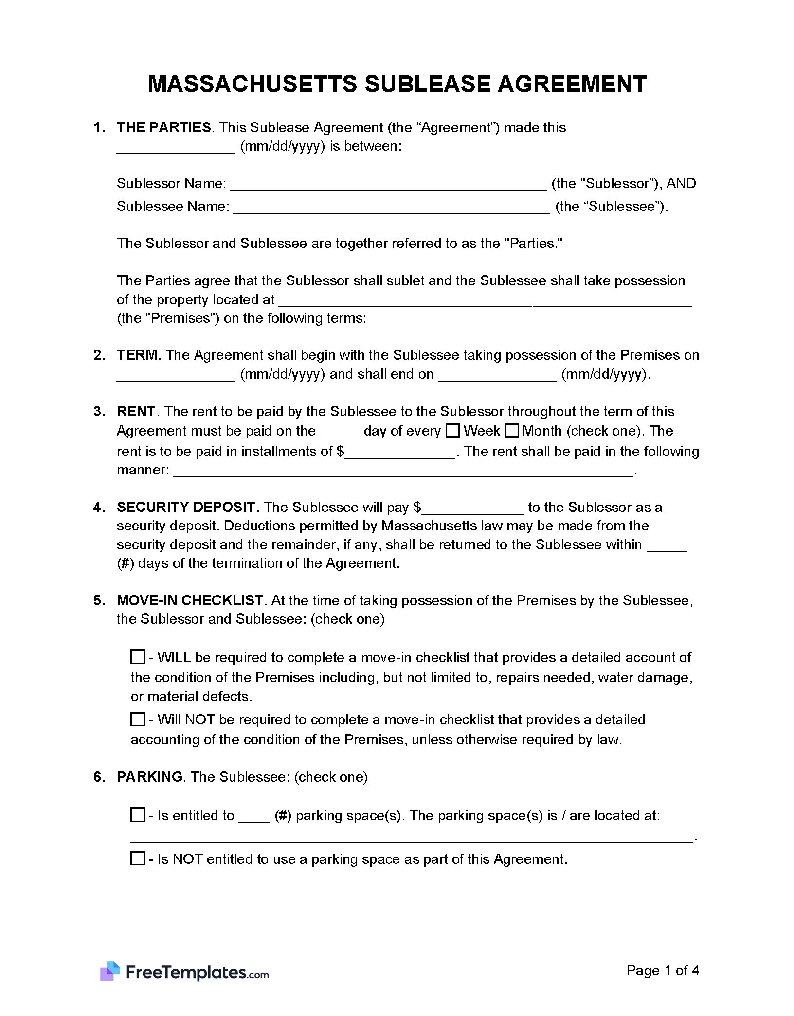
A Massachusetts sublease agreement is a contract between the original tenant and a new tenant to rent all or a portion of their rental property with the landlord’s consent. This new lease agreement does not negate the initial lease agreement between the tenant and the landlord, and all terms, conditions, and rules must remain in effect. Any issues arising between the new subtenant must be resolved by the original tenant. 

Last updated March 10th, 2026

A Massachusetts sublease agreement is a contract between the original tenant and a new tenant to rent all or a portion of their rental property with the landlord’s consent. This new lease agreement does not negate the initial lease agreement between the tenant and the landlord, and all terms, conditions, and rules must remain in effect. Any issues arising between the new subtenant must be resolved by the original tenant. 

  1. Home »
  2. Lease Agreements »
  3. Massachusetts »
  4. Massachusetts Sublease Agreement