Kentucky Sublease Agreement

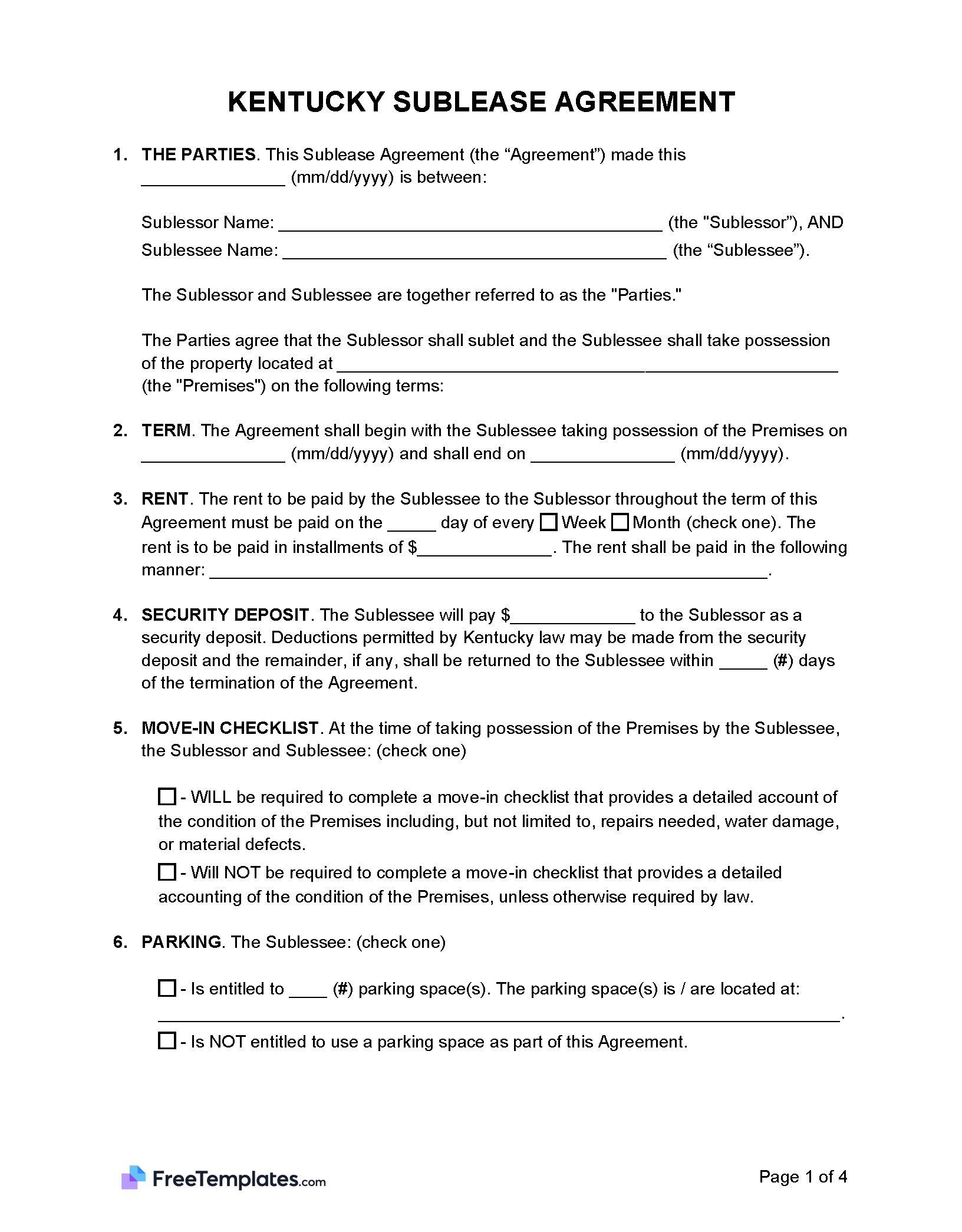
A Kentucky sublease agreement is a contract that enables the leasing of a rental property to another tenant, provided the landlord agrees. The initial tenant is still contractually bound to ensure the rent gets paid on time, the property remains maintained, and there is no lease violation.

Last updated March 10th, 2026

A Kentucky sublease agreement is a contract that enables the leasing of a rental property to another tenant, provided the landlord agrees. The initial tenant is still contractually bound to ensure the rent gets paid on time, the property remains maintained, and there is no lease violation.

  1. Home »
  2. Lease Agreements »
  3. Kentucky »
  4. Kentucky Sublease Agreement