Illinois Sublease Agreement

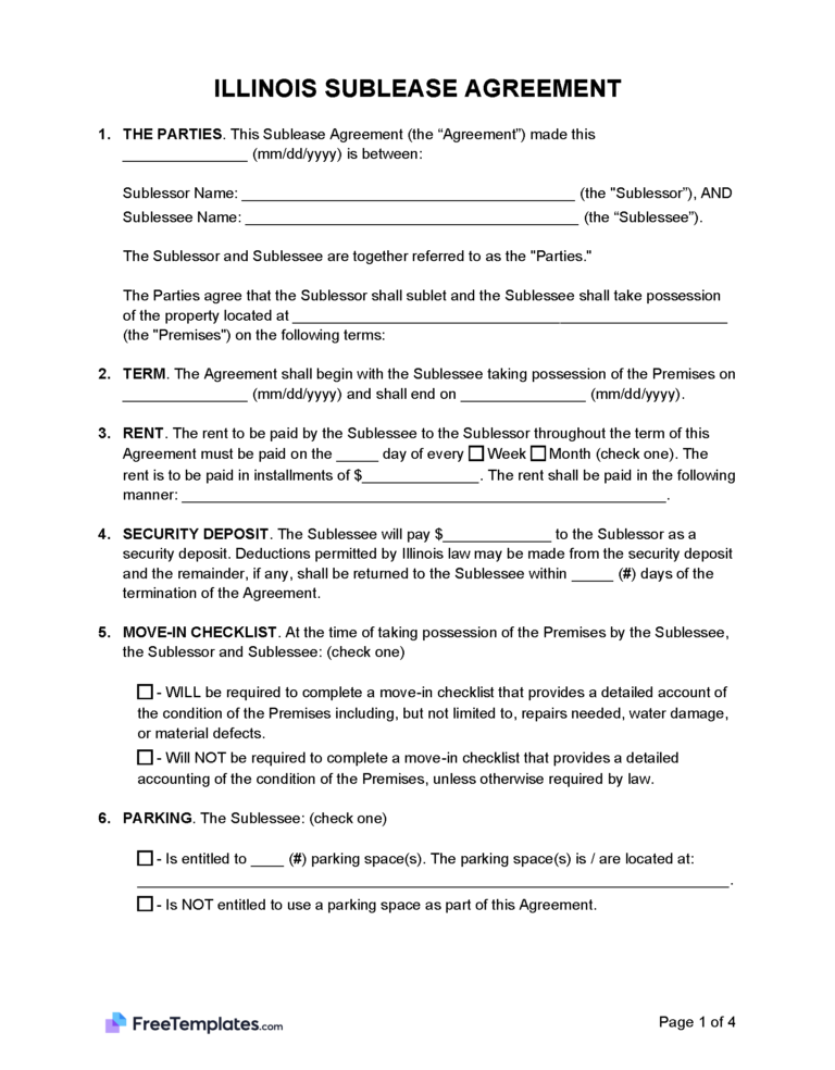
An Illinois sublease agreement is a contractual arrangement that enables leasing a rental property to a new person with the landlord’s approval. The initial tenant is accountable for ensuring rent is paid on time, the property is properly maintained, and no lease terms are violated, even if issues arise with the subtenant.

Last updated March 10th, 2026

An Illinois sublease agreement is a contractual arrangement that enables leasing a rental property to a new person with the landlord’s approval. The initial tenant is accountable for ensuring rent is paid on time, the property is properly maintained, and no lease terms are violated, even if issues arise with the subtenant.

  1. Home »
  2. Lease Agreements »
  3. Illinois »
  4. Illinois Sublease Agreement