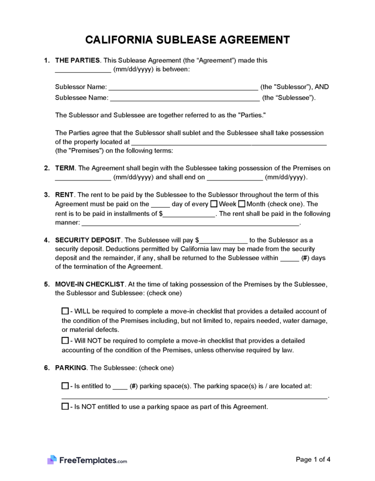
A California Sublease Agreement is a legally binding contract that allows a residential tenant to lease their rental property, or part of it, to a new tenant, known as the sublessee, with the landlord’s content. The written agreement specifies that the sublessee will be responsible for the original terms and conditions of the original lease, but the original tenant remains legally responsible for fulfilling the lease obligations with the landlord.
A California Sublease Agreement is a legally binding contract that allows a residential tenant to lease their rental property, or part of it, to a new tenant, known as the sublessee, with the landlord’s content. The written agreement specifies that the sublessee will be responsible for the original terms and conditions of the original lease, but the original tenant remains legally responsible for fulfilling the lease obligations with the landlord.